النوى – الكتلة و الطاقة

Noyau – Masse et Énergie

  1. 1. التكافؤ " كتلة – طاقة:

    • 1.1. وحدة الكتلة الذرية

      وحدة الكتلة الذرية هي : 1/12 من كتلة ذرة الكربون m M = N N A أي بالنسبة لـ 1 ذرة m= M N A Ü 1µ= 1 12 . M N A

    •  

       

      2-1: وحدة : الإلكترون- فولط.

      في الفيزياء النووية يستعمل الإلكترون ـ الفولط ( كوحدة للطاقة عوض الجول ( J ) .

      1 eV =1,602177.1 0 - 19 J
      1 MeV =1 0 6 eV =1,6.1 0 - 13 J

      3-1- الطاقة المكافئة لوحدة الكتلة الذرية:

      التكافؤ " كتلة – طاقة" لأينشتاين: تمتلك كل مجموعة كتلتها m ، في حالة سكون ، طاقة E تسمى طاقة الكتلة :

      E = m . c 2 حيث c =3.1 0 8 m . s - 1 : سرعة الضوء.

      حسب علاقة اينشتاين الطاقة التي تكافئ :

      E = m u . c 2 =1,6605.1 0 - 27 .(3.1 0 8 ) 2 =1,49445.1 0 - 10 J
      E = 1,49445.1 0 - 10 1,6.1 0 - 13 =931,5 MeV

      1 u =931,5 MeV / c 2

       

      2- طاقة الربط  - Energie de liaison:

      1-2: النقص الكتلي- Défaut de masse

      نسمي النقص الكتلي لنواة الفرق بين مجموع كتل النويات

      Δ m = Z . m p +( A - Z ) m n - m ( Z A X ) مع : Δ m 0

       

      ملحوظة

      " كتلة النواة تكون دائما أقل من مجموع كتل النويات المكونة لها"

       

      2-2: طاقة الربط

      نسمي طاقة الربط لنواة ، الطاقة اللازم منحها للنواة في حالة سكون لفصل نوياتها في حالة سكون

       

      ملحوظة: عندما تتغير كتلة المجموعة بالمقدار ، يصاحب هذا التغير تغير في الطاقة .

      * كتلة المجموعة في سكون) ؛ : تفقد المجموعة طاقة .

      3-2: طاقة الربط بالنسبة لنوية – Energie de liaison par تعرف طاقة الربط بالنسبة وحدتها هي : MeV/ حيث El طاقة الربط للنواة و A عــدد النويات .

      ملحوظة: أهمية طاقة الربط بالنسبة

      تعطي فكرة عن مدى استقرار : كلما كانت كبيرة كلما كانت النواة أكثر استقرارا

      حسب منحنى و يستعمل لمقارنة استقرار مختلف النوى .

      في المجال :

      تضم هذه المنطقة الأنوية الأكثر استقرارا

      في المجال و : ضعيفة جدا أي أن هذه النوى غير

      مستقرة و وفق نوعين من التحولات:

      - نوى خفيفة تتحد فيما بينها لتعطي نواة أكثر

      - : نواة ثقيلة تنشطر إلى نواتين خفيفتين .

      ملحوظة:

       

      3. الإنشطار و الإندماج النوويان ( خاص بالعلوم الرياضية (أ و ب) و العلوم الفيزيائية ) :

    • 1-3: Fission تفاعل نووي تنقسم خلاله نواة ثقيلة " Fissile " ، بعد قذفها بنوترون حراري إلى نواتين خفيفتين .

      أمثلة:

      fission-5 - تفاعل متسلسل:

      " انشطارات متتالية مبدأ القنبلة النووية A

       

      2-3: Fusion

      fusion-3 - تفاعل نووي يتم خلاله انضمام نواتين خفيفتين لتكوين نواة أكثر محررا الطاقة.

      مثال: معادلة تفاعل

      - شروط تحقيق :

      لتحقيق أن تَكون لهما طاقة تُمكنهما من التغلب على قوى التأثيرات البينية

      ملحوظة : أصل الطاقة تفاعلات اندماج داخل الشمس ، حيث في كل ثانية يتحول أكثر من600 مليون طن من ذرات الهيدروجين إلى ذرات الهليوم و ذلك وفق ثلاث مراحل :

      الحصيلة:

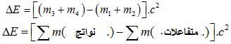
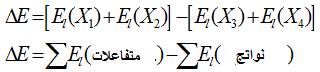
      4- الكتلة و الطاقة لتفاعل نووي

      نعتبر معادلة تفاعل :

      ينتج عن هذا التفاعل تغير في :

      بدلالة طاقة الربط للنوى

      بدلالة كتل النــــــــــــوى

       

       

      5: التأثير البيولوجية للنشاط الإشعاعي

      للإشعاعات النووية تأثير على جسم الإنسان و ذلك

      · الإشعاعات ، تخترق المادة بصعوبة، إذ تكفي ورقة

      penetration و تحدث حروقا سطحية على

      · الإشعاعات ، أكثر نفاذية من ، بعض المليمترات من

      الألومينيوم تستعمل الإشعاعات لعلاج الخلايا السرطانية.

      · الإشعاعات ، نافذة بقدر بعض السنتيمترات من الرصاص

      تستعمل في تشخيص الأمراض بالصور.

      - تستعمل الإشعاعات النووية في الطب بكميات ضئيلة جدا

      كعنصر لاستشفاء الأمراض أو لمعالجتها

      - كيف تؤثر الإشعاعات النووية على

      تتفاعل الإشعاعات النووية ذات الطاقة العالية مع المادة المكونة إذ يمكنها انتزاع إلكترونات ذرات خلايا بعض الأعضاء محدثة بعض التشوهات بيوكيميائية .

Retour à la page d'accueil