ثنائي القطب RC

Le dipôle RC

  1. 1. المكثف – Le condensateur

    • 1.1. تعريف :

      يتكون المكثف من موصلين أو لبوسين (Armatures) يفصل بينهما عازل استقطابي (diélectrique) ".

    • 2.1. الرمز الاصطلاحي لمكثف :

    • 3.1. مميزات المكثف :

      كل مكثف يميزه مقدار يسمى سعىة المكثف و نرمز لها بـ C و حدتها في النظام العالمي للوحدات هي الفاراد F

      شحنة المكثف العلاقة بين الشحنة و شدة التيار. العلاقة بين و التوتر العلاقة بين التوتر و شدة التيار.
      نسمي شحنة المكثف ، كمية الكهرباء q التي يتوفر عليها أحد لبوسيه
      لتكن    qA > 0     شحنة اللبوس A،
      و     qB < 0     شحنة اللبوس B،
      في هذه الحالة :
      q = qA = -qB
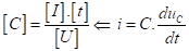
      شدة التيار الكهربائي هي صبيب الشحن ، و هي كمية الكهرباء التي تصل إلى لبوس المكثف في وحدة الزمن
      تتناسب شحنة المكثف اطرادا مع التوتر بين مربطيه

      حيث C سعتة المكثف
  2. 2. تعبير الطاقة المخزونة في المكثف

    القدرة الكهربائية المكتسبة من طرف المكثف هي:
    اذن تغير الطاقة
    اذن
    بما ان
    فان
    أي أن تعبير الطاقة المخزونة بالمكثف :
    تمثل الطاقة البديئة بالمكثف

    عند t=0s، يكون المكثف غير مشحون و بالتالي Ee(t=0) = 0J و Uc(t=0) = 0V أي أن k = 0J و بالتالي

  3. 3. استجابة ثنائي القطب RC لرتبة صاعدة للتوتر

    • 1.3. المعادلة التفاضلية للدارة :

      - قبل غلق الدارة ( المكثف مفرغ).

      - عند لحظة t = 0s نغلق الدارة.

      حسب قانون إضافية التوترات نكتب:

      مع

      حسب قانون أوم

      مع

      و هكذا نجد المعادلة التفاضلية التي يحققها التوتر Uc(t) بين مربطي مكثف:

    • 2.3. تعبير التوتر Uc(t)

      يكتب حل هذه المعادلة التفاضلية، على شكل :

      A و B و k ثوابت .

      نحدد B و k:

      المشتقة الأولى ل Uc(t) هي: .

      نعوض في المعادلة التفاضلية :

      أي أن : .

      لكي تتحقق هذه المعادلة مهما كانت t يجب أن يكون أي : و بالتالي B=E و

      و هكذا :

      نحدد A :

      عند الشروط البدئية ، أي عند(t=0) المكثف مفرغ بدئيا:

      و منه .

      بالتالي:

      ثابتة الزمن τ=R.C:

      حسب قانون أوم : .

      بالنسبة للمكثف :

      معادلة الأبعاد للجداء τ=R.C :

      المقدار τ=R.C له بعد الزمن ، و نسميه ثابتة الزمن

    • 3.3. تعبير شدة التيار الكهربائي المار في :

      من العلاقة مع و نجد :

      ومنه

    • 4.3. تحديد تابثة الزمن τ :

      تحدد τ تابثة الزمن بالطرق التالية :

      * المستقيم المماس عند t=0s حيث نقطة تقاطع المماس مع محور الافاصيل يمثل τ

      * المقدار عند اللحظة t=τ حيث نسقط الكمية UC(t)=0,63.E

      * بتحديد زمن النصف t1/2 حيث نستعين بالعلاقة t1/2= τ .Ln(2)

  4. 4. استجابة ثنائي القطب RC لرتبة نازلة للتوتر

    • 1.4. المعادلة التفاضلية للدارة :

      - في لحظة t=0s ، نضع قاطع التيار K في الموضع (2) ، حيث المكثف مشحون أي :.

      حسب قانون إضافة التوترات :

      مع و و

      اذن

      ومنه : مع

      " المعادلة التفاضلية التي يحققها التوتر بين مربطي مكثف خلال تفريغه في موصل أومي ".

    • 2.4. تعبير التوتر بين مربطي المكثف

      تعبير التوتر بين مربطي المكثف حل للمعادلة التفاضلية و يكتب على شكل :

      مع A و B و k ثوابت .

      اذن

      نعوض في المعادلة التفاضلية :

      تحقق هذه المعادلة ، يوافق أي أن : ، و بالتالي :

      عند t=0s : أي أن :

      وهكذا : مع .

    • 3.4. تعبير شدة تيار التفريغ :

      لدينا مع و هكذا :

  5. 5. تجميع المكثفات:

    • 1.5. التجميع على التوازي :

      q : الشحنة الكلية :

      و بالتالي :

      تعميم: سعة المكثف المكافئ لعدة مكثفات مركبة على التوازي :

      ملحوظة : هذا التركيب يرفع السعة

    • 1.5. التجميع على التوالي:

      q : الشحنة الكلية :

      و بالتالي :

      تعميم: سعة المكثف المكافئ لعدة مكثفات مركبة على التوالي :.

      ملحوظة : هذا التركيب يُضَعِّفُ السعة

Retour à la page d'accueil